電流駆動回路に電圧帰還する

現在位置のナビ

トップコンピュータの国雑記帳趣味趣味音響 → 電流駆動回路に電圧帰還する

説明

電流駆動回路に出力電圧をNFBするとどうなるか、計算してみました。

もともと真空管もバイポーラトランジスタもFETも電流出力デバイスです。 単純にそれらの素子でアンプを作ったら、電流駆動アンプになるはずです。 その電流駆動アンプにむりやり電圧帰還したらどうなるのか、シミュレーションしてみました。

モデル化

電圧帰還アンプのモデル

電圧帰還アンプを単純にモデル化しました。

アンプの出力電圧は、出力電流と負荷回路から決まるものとします。

I1 + I2 = A( V0 x sin(ωt) - I1 R2)…式(1)

I1 (R1 + R2) = I2 R3 + L1 I2'…式(2)

式(1)を変形する。

I1 ( 1 + A R2) = A V0 sin(ωt) - I2 …式(1')

I1 = ( A V0 sin(ωt) - I2) / ( 1 + A R2) …式(1' ')

式(2)に式(1' ')の I1 を代入する。

( A V0 sin(ωt) - I2)(R1 + R2) / ( 1 + A R2) = I2 R3 + L1 I2' …式(2')

( A V0 sin(ωt) )(R1 + R2) / ( 1 + A R2) = (R3 + (R1 + R2)/(1 + A R2)) I2 + L1 I2' …式(2' ')

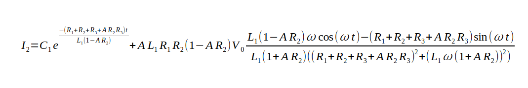
微分方程式を解く

mathematidaで微分方程式を解く
微分方程式の解

評価

分数の分母には ω2の項があります。 分子は ω cos(ω t)とsin(ω t)の定数倍の差ですから、ω(周波数)が大きくなると、出力電流が減ります。

続く

更新日

2025年11月19日 初出


back button 趣味趣味音響へ